¡¡¡¡¼ÓËÙÂʼƣ¨Accelerometer£©ÊÇÒ»ÖÖ´«¸ÐÆ÷£¬£¬£¬£¬£¬¹ËÃû˼Ò壬£¬£¬£¬£¬ËüÄܹ»¼ì²âÎïÌåµÄ¼ÓËÙÂÊ£¬£¬£¬£¬£¬»òÕß˵£¬£¬£¬£¬£¬ËüÄܹ»¼ì²âÎïÌåÔÚÒ»¶Îʱ¼äÄÚÎ»ÒÆËÙÂʵÄת±ä¡£¡£¡£¡£¡£¡£¼ÓËÙÂÊ´«¸ÐÆ÷ÊÖÒÕÒѾÆÕ±éÓ¦ÓÃÓÚº½¿Õ¡¢Æû³µ¡¢»úе¡¢ÐÞ½¨µÈÁìÓò£¬£¬£¬£¬£¬ÈôÊÇÄãÕýÔÚʹÓÃÊÖ»úä¯ÀÀÕâÆªÎÄÕ£¬£¬£¬£¬£¬ÄÇôÄãµÄÊÖÖоÍÓÐÒ»¸ö¼ÓËÙÂʼơ£¡£¡£¡£¡£¡£
¡¡¡¡Í¼1£¨Í¼Ô´ÍøÂ磩
¡¡¡¡
ACCÊý¾Ý£¨Accelerometer Data£©ÊÇָͨ¹ýÈýÖá¼ÓËÙÂʼÆÕÉÁ¿µÄÔʼ¼ÓËÙÂÊÖµ¡£¡£¡£¡£¡£¡£ËüÌṩÁËÎïÌåÔÚ²î±ðʱ¼äµãÉÏÔÚÈý¸öÖᣨÈçX¡¢YºÍZÖᣩÉϵļÓËÙÂÊת±äÐÅÏ¢¡£¡£¡£¡£¡£¡£
¡¡¡¡
ODBA£¨Overall Dynamic Body Acceleration£©ÊǶ¯ÎïµÄÕûÌ嶯̬¼ÓËÙÂÊ£¬£¬£¬£¬£¬ÊÇͨ¹ý¶ÔACCÊý¾Ý¾ÙÐд¦Öóͷ£ºÍÅÌËãµÃ³öµÄÒ»¸öÖ¸±ê¡£¡£¡£¡£¡£¡£
¡¡¡¡Í¨¹ý»ñÈ¡Ô˶¯¼ÓËÙÂÊÔʼÊý¾Ý£¬£¬£¬£¬£¬²¢´ÓÖлñÈ¡ÌØÕ÷Êý¾Ý£¬£¬£¬£¬£¬¿ÉÒÔ¶Ô¶¯Îï¸öÌåÔ˶¯Ä£Ê½¡¢ÐÐΪÔ˶¯ºÍ×Ë̬µÈ¾ÙÐÐʶ±ðÆÊÎö¡£¡£¡£¡£¡£¡£ÕâÖÖ·½·¨»ñÈ¡Êý¾Ý±ãµ±¡¢²»Ò×Êܵ½ÇéÐÎ×ÌÈÅ£¬£¬£¬£¬£¬ÕýÆÕ±éÓ¦ÓÃÓÚÉú̬ѧÑо¿ÒÔ¼°¶¯ÎïÐÐΪģʽÆÊÎöµÈÁìÓò¡£¡£¡£¡£¡£¡£
¡¡¡¡Í¼2-°Ä´óÀûÑǰ¢µÂÀ³µÂ´óѧÈëÇÖ¿ÆÑ§ÓëÒ°Éú¶¯ÎïÉú̬ѧʵÑéÊÒJack TatlerÑо¿×éʹÓÃODBAÊý¾ÝÑо¿ÇéÐÎζÈÓëÒ°¹·ÐÐΪ֮¼äµÄ¹ØÁª
¡¡
¡¡Ò»¡¢ACC´«¸ÐÆ÷¸³ÄÜÒ°Éú¶¯Îï¼à²â
¡¡¡¡£¡£¡£¡£¡£¡£¨1£©
¶¯ÎïÐÐΪģʽÆÊÎö£ºÍ¨Ì«¹ýÎöACCÊý¾ÝºÍODBA£¬£¬£¬£¬£¬¿ÉÒÔÖØÐÞºÍÐÎò¶¯ÎïµÄÔ˶¯ºÍÐÐΪģʽ£¬£¬£¬£¬£¬³ýÁËͨÀýµÄλÖÃÊý¾ÝÍ⣬£¬£¬£¬£¬»¹¿ÉÒÔÍøÂçÒ»Á¬ÐÐΪÊý¾Ý¡£¡£¡£¡£¡£¡£Õâ¿ÉÒÔ×ÊÖúÏàʶ¶¯ÎïµÄÔ˶¯¹æÄ£¡¢Ô˶¯·½·¨ºÍÐÐÎªÌØÕ÷¡£¡£¡£¡£¡£¡£
¡¡¡¡£¡£¡£¡£¡£¡£¨2£©ÄÜÁ¿ÏûºÄºÍÔ˶¯Ç¿¶ÈÆÀ¹À£ºODBA¿ÉÒÔ×÷ΪȨºâ¶¯ÎïÄÜÁ¿ÏûºÄºÍÔ˶¯Ç¿¶ÈµÄÖ¸±ê¡£¡£¡£¡£¡£¡£Í¨Ì«¹ýÎöODBAÊý¾Ý£¬£¬£¬£¬£¬¿ÉÒÔÆÀ¹À¶¯ÎïµÄÄÜÁ¿ÐèÇó¡¢ÐÐΪÔ˶¯Ë®Æ½ºÍÔ˶¯Ç¿¶È¡£¡£¡£¡£¡£¡£
¡¡¡¡Í¼2-ºòÄñǨáã£¨Í¼Ô´ÍøÂ磩
¡¡¡¡£¡£¡£¡£¡£¡£¨3£©
Éú̬ѧÑо¿£ºACCÊý¾ÝºÍODBA¿ÉÒÔÓÃÓÚÉú̬ѧÑо¿ÖУ¬£¬£¬£¬£¬ÀýÈçÏàʶ¶¯ÎïµÄÐÐΪģʽ¡¢ÐÐΪ½ÚÂÉ¡£¡£¡£¡£¡£¡£Í¨Ì«¹ýÎö¶¯ÎïµÄ¼ÓËÙÂÊģʽºÍÕûÌ嶯̬¼ÓËÙÂÊ£¬£¬£¬£¬£¬¿ÉÒÔÕ¹ÏÖ¶¯Îï¶ÔÇéÐÎת±äµÄÏìÓ¦ºÍ˳ӦսÂÔ¡£¡£¡£¡£¡£¡£
¡¡¡¡£¡£¡£¡£¡£¡£¨4£©
¶¯ÎïÐÐΪÓ뿵½¡×´Ì¬¹ØÁªÆÊÎö£ºACCÊý¾ÝºÍODBA»¹¿ÉÒÔÓÃÓÚÑо¿¶¯ÎïÐÐΪÓëÆä¿µ½¡×´Ì¬Ö®¼äµÄ¹ØÁª¡£¡£¡£¡£¡£¡£Í¨¹ýÏà¹ØÊý¾Ý£¬£¬£¬£¬£¬¿ÉÒÔ¼ì²â¶¯ÎïµÄÒì³£ÐÐΪģʽ¡¢Ó¦¼¤Ë®Æ½ºÍ¼²²¡×´Ì¬¡£¡£¡£¡£¡£¡£
¡¡¡¡£¡£¡£¡£¡£¡£¨5£©
¶¯ÎïµÄÇéÐÎÐèÇóÆÀ¹À£ºÔÚ´ó´ó¶¼Ñо¿ÖУ¬£¬£¬£¬£¬¼ÒÓòͨ³£ÊÇÆ¾Ö¤¶¯ÎïËæÊ±¼äÍÆÒÆµÄµØÀíλÖÃÀ´Ô¤¼ÆµÄ¡£¡£¡£¡£¡£¡£¶øACCÊý¾ÝÄÜΪ¶¯ÎïµÄÇéÐÎÐèÇóÆÀ¹ÀÌṩ¸ü¶àDZÔÚÖ¸±ê£¬£¬£¬£¬£¬ºÃ±ÈÄÜÁ¿ÏûºÄ¡¢¾ºÕùµÄDZÁ¦µÈ£¬£¬£¬£¬£¬ËµÃ÷¶¯ÎïÔõÑùʹÓÃËüÃÇµÄÆÜÏ¢µØÀ´Öª×ãÐèÇ󡣡£¡£¡£¡£¡£
¡¡¡¡
¶þ¡¢»ùÓÚ¼ÓËÙÂÊ´«¸ÐÆ÷µÄÒ°Éú¶¯Îï¼à²â½â¾ö¼Æ»®
¡¡¡¡¾ÅÖÝkuÓιÙÍøÌṩµÄ»ùÓÚ¼ÓËÙÂÊ´«¸ÐÆ÷µÄÒ°Éú¶¯Îï¼à²â½â¾ö¼Æ»®£¬£¬£¬£¬£¬°üÀ¨´îÔØ¼ÓËÙÂÊ´«¸ÐÆ÷µÄÎÀÐÇ×·×ÙÆ÷¡¢Êý¾ÝÖÐÐļ°Êý¾Ý·þÎñƽ̨Èý¸ö²¿·Ö¡£¡£¡£¡£¡£¡£Í¨¹ý±±¶·ÎÀÐǶ¨Î»¼°¼ÓËÙÂÊ´«¸ÐÆ÷ʵÏÖ¶Ô¶¯Îï¸öÌåλÖÃÓëÔ˶¯µÄʵʱ¼à²â£¬£¬£¬£¬£¬Îª¶¯ÎïÐÐΪģʽÆÊÎö¡¢ÄÜÁ¿ÏûºÄºÍÔ˶¯Ç¿¶ÈÆÀ¹ÀµÈÌṩÊÖÒÕÖ§³Ö¡£¡£¡£¡£¡£¡£
¡¡¡¡Í¼3-Åå´ø¾ÅÖÝkuÓιÙÍø×·×ÙÆ÷µÄ»·¾±ûa
¡¡¡¡£¡£¡£¡£¡£¡£¨Í¼Æ¬ÈªÔ´£ºÖÐɽ´óѧÁõÑôÍŶӣ©
¡¡¡¡£¡£¡£¡£¡£¡£¨Ò»£©´îÔØ¼ÓËÙÂÊ´«¸ÐÆ÷µÄÎÀÐÇ×·×ÙÆ÷
¡¡¡¡×·×ÙÆ÷½ÓÄɱ±¶·ÎÀÐÇÈ«Çò¶¨Î»£¬£¬£¬£¬£¬¾«¶È×î¸ß¿É´ï1Ãס£¡£¡£¡£¡£¡£VHFÊý¾Ý»Ø´«×°±¸ÖØÁ¿µÍÖÁ1.2g£»£»£»£»£»£»£»2G/4G/5GÊý¾Ý»Ø´«×°±¸ÖØÁ¿×îÇá2.5g£¬£¬£¬£¬£¬Ö§³Ö¹ú¼ÊÖÜÓΣ¬£¬£¬£¬£¬Ë³Ó¦È«Çò¹æÄ£ÊÂÇé¡£¡£¡£¡£¡£¡£×°±¸¿ÉÊÕÂÞ¶àάÊý¾Ý£¬£¬£¬£¬£¬°üÀ¨¾¶È¡¢Î³¶È¡¢¸ß¶È¡¢ËÙÂÊ¡¢ACC£¨ÈýÖáÔʼ¼ÓËÙÂÊ£©¡¢ODBA¡¢º½Ïò¡¢Î¶ȡ¢Ô˶¯Á¿¡¢Ë®Æ½¾«¶ÈÒò×Ó£¨HDOP£©¡¢±ÊÖ±¾«¶ÈÒò×Ó£¨VDOP£©µÈ¡£¡£¡£¡£¡£¡£
¡¡¡¡´îÔØ¼ÓËÙÂÊ´«¸ÐÆ÷ºó£¬£¬£¬£¬£¬¿Éƾ֤Óû§ÐèÇóÉèÖÃÊÕÂÞÆµÂÊ£¬£¬£¬£¬£¬ÎªÓû§ÌṩACCÊý¾Ý£¨ÈýÖáÔʼ¼ÓËÙÂÊ£©£¬£¬£¬£¬£¬Ò»Á¬¼à²â4S£¨20Hz£©»ò8S£¨10Hz£©£¬£¬£¬£¬£¬ÊÕÂÞ¾àÀëµÍÖÁÊ®·ÖÖÓ£¬£¬£¬£¬£¬¸³ÄÜÒ°Éú¶¯ÎïÐÐΪ¼à²â¡£¡£¡£¡£¡£¡£
¡¡¡¡£¨ÕÛÏßͼȪԴ£º¾ÅÖÝkuÓιÙÍøÊý¾Ý·þÎñƽ̨£¬£¬£¬£¬£¬²åͼȪԴ£ºÍøÂ磩
¡¡¡¡£¡£¡£¡£¡£¡£¨¶þ£©Êý¾ÝÖÐÐÄ
¡¡¡¡¾ÅÖÝkuÓιÙÍøÊý¾Ý»ú·¿µÖ´ïµçÐÅÇå¾²¼¶±ð£¬£¬£¬£¬£¬È«Ììºòʵʱ¼à¿Ø¡£¡£¡£¡£¡£¡£Êý¾ÝÖÐÐĽÓÄÉÑÏ¿áµÄ»á¼û¿ØÖÆ£¬£¬£¬£¬£¬È·±£Ö»ÓоÓÉÊÚȨµÄÓû§²Å»ª¹»»á¼ûÊý¾Ý£»£»£»£»£»£»£»½ÓÄÉÈßÓà·þÎñÆ÷¼Ü¹¹ºÍ´ÅÅÌÈȱ¸ÊÖÒÕ£¬£¬£¬£¬£¬È·±£ÏµÍ³ÎȹÌÐÔºÍÊý¾ÝÓÀÊÀ´æ´¢¡£¡£¡£¡£¡£¡£°ü¹ÜÊý¾ÝÇå¾²¡¢Óû§ÎÞÓÇ¡£¡£¡£¡£¡£¡£
¡¡¡¡£¡£¡£¡£¡£¡£¨Èý£©Êý¾Ý·þÎñƽ̨
¡¡¡¡¾ÅÖÝkuÓιÙÍøÊý¾Ý·þÎñƽ̨ÊÇ»ñÈ¡¡¢¹ÜÀíºÍÆÊÎö¶¯Îï¸öÌå¼à²âÊý¾ÝµÄ×ÛºÏÐÔÆ½Ì¨£¬£¬£¬£¬£¬Ö§³ÖWindows¡¢Android¡¢IOSµÈ²Ù×÷ϵͳ£¬£¬£¬£¬£¬°üÀ¨×ÀÃæ¶Ë¡¢Web¶ËºÍÒÆ¶¯¶Ë3ÖÖÀàÐÍ£¬£¬£¬£¬£¬Îª¿Í»§ÉîÈëÏàʶ¶¯ÎïµÄµØÀíλÖá¢ÐÐΪϰÐÔ¡¢ÆÜÏ¢ÇéÐμ°Ïà¹ØÉú̬ѧÆÊÎöÌṩÊý¾ÝÖ§³Ö¡£¡£¡£¡£¡£¡£
¡¡¡¡Í¼4-ÒÆ¶¯¶ËÊý¾Ýƽ̨µÇ¼½çÃæ

¡¡¡¡Í¼5-×ÀÃæ¶ËÊý¾Ýƽ̨µÇ¼½çÃæ

¡¡¡¡Í¼6-Web¶ËÊý¾Ýƽ̨µÇ¼½çÃæ
¡¡¡¡Òƶ¯¶ËÊý¾Ýƽ̨¾ßÓÐÐÐΪ¼à²â¹¦Ð§£¬£¬£¬£¬£¬ÎªÓû§¾ÙÐÐÒ°ÍâÊÓ²ìÌṩ¸¨Öú¹¤¾ß£¬£¬£¬£¬£¬¼Í¼¶¯Îï¸öÌåÐÐΪ£¬£¬£¬£¬£¬²¢½«ÊӲ쵽µÄ¸öÌåÐÐΪÓëÔʼACCÊý¾Ý¾ÙÐÐÆ¥Å䣬£¬£¬£¬£¬ÓÃÓÚºóÐøÑо¿ÆÊÎö¡£¡£¡£¡£¡£¡£
¡¡¡¡Í¼7¡¢8-ÒÆ¶¯¶ËÐÐΪ¼à²â¹¦Ð§½çÃæ
¡¡¡¡±ðµÄ£¬£¬£¬£¬£¬¾ÅÖÝkuÓιÙÍøÊý¾Ý·þÎñƽ̨һֱÓÅ»¯£¬£¬£¬£¬£¬Æ¾Ö¤Óû§µÄÐèÇóºÍ·´À¡£¡£¡£¡£¡£¡£¬£¬£¬£¬£¬°´ÆÚ¸üкÍÉý¼¶ÐÔÄÜ£¬£¬£¬£¬£¬Îª¿ÆÑ§Ñо¿ÌṩÓÅÖÊÊÖÒÕÖ§³Ö¡£¡£¡£¡£¡£¡£
¡¡¡¡Èý¡¢Ïà¹ØÑо¿
¡¡¡¡°Ä´óÀûÑǰ¢µÂÀ³µÂ´óѧÈëÇÖ¿ÆÑ§ÓëÒ°Éú¶¯ÎïÉú̬ѧʵÑéÊÒJack TatlerÑо¿×éÔÚ¡¶Movement Ecology¡·½ÒÏþÎÄÕ£¨Tatler et al.2021£©£¬£¬£¬£¬£¬¸ÃƪÎÄÕÂʹÓÃÈýÖá¼ÓËÙÂʼƣ¨ACC£©ºÍGPSÊý¾Ý£¬£¬£¬£¬£¬¶Ô°Ä´óÀûÑÇÖв¿×ÔÓÉ·ÅÑøµÄÒ°¹·µÄÄÜÁ¿ÏûºÄºÍÔ˶¯Ä£Ê½¾ÙÐÐʱ¿ÕÆÊÎö¡£¡£¡£¡£¡£¡£Í¨¹ýÄ£ÄâODBA×÷ΪÖçÒ¹ÇéÐÎζȵĺ¯ÊýÀ´²âÊÔÒ°¹·ÊÇ·ñÔÚÐÐΪÉϾÙÐÐÌåε÷Àí¡£¡£¡£¡£¡£¡£
¡¡¡¡Í¼9
¡¡¡¡Í¼Æ¬ÈªÔ´£ºMovement Ecology
¡¡¡¡Ñо¿ÓÚ2016Äê4ÔÂÖÁ2018Äê5ÔÂÔÚ¿¨ÀÄÂÀïÄÉÒ°Éú¶¯Îï±£»£»£»£»£»£»£»¤Çø¿ªÕ¹¡£¡£¡£¡£¡£¡£¸ÃµØÇøÌìÆø¸Éºµ£¬£¬£¬£¬£¬Äê½µÓêÁ¿ÖÐλÊýΪ133.5ºÁÃ×£¬£¬£¬£¬£¬ÏÄÈÕºÜÊÇÑ×ÈÈ£¬£¬£¬£¬£¬¶¬¼¾ÎÂ˳£¬£¬£¬£¬£¬ÈÕÆ½¾ùÆøÎÂÔÚ×îÈÈÔ·ÝΪ23¡ãC-38¡ãC£¬£¬£¬£¬£¬×îÀäÔ·ÝΪ6¡ãC-20¡ãC£¨ÏÂÖçÈýµã×óÓÒÊÇÒ»ÌìÖÐ×îÈȵÄʱ¼ä£©¡£¡£¡£¡£¡£¡£Ñо¿×éΪ19Ö»°ÄÖÞÒ°¹·×°ÖÃÁËACC-GPSÏîȦ׷×ÙÆ÷£¬£¬£¬£¬£¬ÕâЩÏîȦÅ䱸ÁËÈýÖá¼ÓËÙÂʼơ£¡£¡£¡£¡£¡£×îÖÕÁù¸öÏîȦͨ¹ý´¥·¢µôÂä»úÖÆ½ÓÄÉ£¬£¬£¬£¬£¬Ò»¸öÏîȦͨ¹ýÖØÐÂÓÕ²¶½ÓÄÉ¡£¡£¡£¡£¡£¡£¹ØÓÚ´ÓÆßÖ»Ò°¹·ÉíÉÏÕһصÄACCºÍGPSÊý¾Ý£¬£¬£¬£¬£¬Ñо¿×齫ÔʼACCÊý¾Ý´Ó×î¸ßºÍ×îµÍÇ¿¶ÈµÄ¾ÙÐÐÐÐΪ·Ö×飬£¬£¬£¬£¬½«Ò°¹·µÄACCÊý¾Ý·ÖÀàΪÎåÖÖÐÐΪ£¬£¬£¬£¬£¬²¢½«ÌÉ×Å¡¢Õ¾Á¢ºÍ×ø×ŵÄÐÐÎªÖØÐ±ê¼ÇΪ¡°¾²Ö¹¡±£¬£¬£¬£¬£¬ÓÉÓÚÕâЩÐÐΪʮ·ÖÏàËÆ£¬£¬£¬£¬£¬ËüÃDz»Ì«¿ÉÄÜÔÚÄÜÁ¿ÏûºÄÉϲî±ð¡£¡£¡£¡£¡£¡££¨¼û±í1£©
¡¡¡¡±í1-Ëæ»úÉÁÖÄ£×ÓÔÚÕ¹Íû13ÖÖ²î±ðÐÐΪÓë·Ö×éÐÐΪʱµÄÌåÏÖ
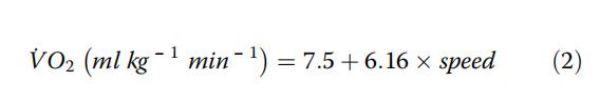
¡¡¡¡¹ØÓÚ¾²Ï¢´úлÂÊ£¨ÊÊÓÃÓÚËùÓо²Ö¹ÐÐΪ£©£¬£¬£¬£¬£¬Ñо¿×éʹÓÃShieldÍøÂçµÄ°ÄÖÞÒ°¹·µÄºÄÑõÁ¿Êý¾Ý£¬£¬£¬£¬£¬²¢
¡¡¡¡ÍƳöEq.1¹«Ê½¡£¡£¡£¡£¡£¡£¹ØÓÚ²½ÐкÍÅܲ½ÐÐΪ£¬£¬£¬£¬£¬Ê¹ÓÃBryceºÍWilliamsµÄ¹«Ê½£¨Eq.2£©ÅÌËãÄÜÁ¿ÏûºÄ£¬£¬£¬£¬£¬¼ÙÉèÆ½¾ùËÙÂÊΪ²½ÐÐ1.985ms-1£¬£¬£¬£¬£¬Åܲ½Îª4.96ms-1¡£¡£¡£¡£¡£¡£²¢¾Ý´ËµÃ³ö±í2¡£¡£¡£¡£¡£¡£
¡¡¡¡±í2-ÔÚ¿¨ÀÄÂÀïÄÉÅ䱸ACC-GPSÏîȦµÄ7Ö»Ò°¹·µÄÊôÐÔ

¡¡¡¡ÎªÁËÑо¿¿¨ÀÄÂÀïÄÉÒ°¹·µÄÈÕ³£»£»£»£»£»£»£Ô˶¯Ä£Ê½£¬£¬£¬£¬£¬Ñо¿×éʹÓÃRÈí¼þ°ü¡°mgcv¡±¹¹½¨ÁËÁ½¸ö¹ãÒå¼ÓÐÔÄ£×Ó£¨GAMs£©¡£¡£¡£¡£¡£¡£µÚÒ»¸öÔ˶¯Ä£×ÓÆÀ¹ÀÁËÒÆ¶¯¾àÀ루һÁ¬15·ÖÖÓGPSλÖÃÖ®¼ä£©×÷ΪһÌìÖÐСʱ£¨0-23£©µÄº¯Êý¡£¡£¡£¡£¡£¡£ÀàËÆµØ£¬£¬£¬£¬£¬µÚ¶þ¸öÔ˶¯Ä£×Ó½«ODBA£¨ÔÚ¾àÀëÕÉÁ¿µÄÏàͬ15·ÖÖÓʱ´úµÄƽ¾ùÖµ£©×÷ΪСʱµÄº¯Êý¾ÙÐÐÆÀ¹À¡£¡£¡£¡£¡£¡£ÔÚ¾ÙÐÐͳ¼ÆÆÊÎö֮ǰ£¬£¬£¬£¬£¬¶ÔÁ½¸ö·´Ó¦±äÁ¿¾ÙÐÐÁ˱ê×¼»¯¡£¡£¡£¡£¡£¡£GAMs½ÓÄÉÑ»·Èý´Î»Ø¹éÑùÌõºÍ20½ÚÄâºÏ¡£¡£¡£¡£¡£¡£³ý´ËÖ®Í⻹¾ÙÐÐÁËÆ¤¶ûÑ·Ïà¹ØÐÔÄ¥Á·£¬£¬£¬£¬£¬ÒÔÄ¥Á·ÏìÓ¦±äÁ¿Ö®¼äÏà¹ØÐÔµÄÇ¿¶ÈºÍÆ«Ïò¡£¡£¡£¡£¡£¡£
¡¡¡¡Ñо¿Ð§¹ûÅú×¢£¬£¬£¬£¬£¬ÇéÐÎζȿÉÄÜ»áÓ°ÏìÒ°¹·µÄÐÐΪ£¬£¬£¬£¬£¬°×ÌìÒ°¹·Ô˶¯(ODBA)ÓëÇéÐÎζȳʸºÏà¹Ø£¬£¬£¬£¬£¬ÕâÒâζ×ÅÌ«Ñô·øÉäµÄ¸ßÈÈÁ¿ÔöÒæ¿ÉÄÜÊÇÏÞÖÆ¸ÉºµÇéÐÎÖÐÒ°¹·°×ÌìÔ˶¯µÄÒ»¸öÒòËØ¡£¡£¡£¡£¡£¡££¨¼ûͼ10£©
¡¡¡¡Í¼10-Ò°¹·£¨n=7£©ÔÚ°×Ì죨ͼA£©»òÒ¹¼ä£¨Í¼B£©µÄÇéÐÎζÈÏÂÕ¹ÍûODBAÖµ
¡¡¡¡£¡£¡£¡£¡£¡£¨95%ÖÃÐÅÇø¼äÓûÒÉ«ÒõÓ°ÌåÏÖ£©
¡¡¡¡
²Î¿¼ÎÄÏ×
¡¡¡¡Tatler,J.,Currie,S.E.,Cassey,P.et al.Accelerometer informed time-energy budgets reveal the importance of temperature to the activity of a wild,arid zone canid.Mov Ecol 9,11(2021).